九师联盟2022届新高考高三核心模拟卷数学一答案
九师联盟2022届新高考高三核心模拟卷数学一答案 ,目前九师联盟答案网已经整理了九师联盟2022届新高考高三核心模拟卷数学一答案 的各科答案和试卷,更多九师联盟答案请关注本网站。

6.C【解析】解法一由题可得Ia-b2=a2+8-2a·b=42-2k+1=4(k-4》2+子,所以当k=4时,1a-仙1P取得最小值子,(二次函数图象与性质的应用)所以a-协1的最小值为解法二如图,设0A=a,0B=b,数形结合可知当(a-kb)⊥kb时,Ia-bI的值最小,所以Ia-kblmin=lal·sin3=2


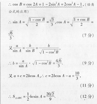
17.【解题思路】(1)a+c=2 bcos A-正弦定理→+sinA+sinC=2 sin Bcos A→sinA=sin(B-A)→B=6B=2A12(2)c0sB=}B-2→sinA,cosA正弦定理,b=4/6 a+c=2bcos A→C=310三角形面积公式,△ABC的3面积解:(1)由a+c=2 bcos A及正弦定理得sinA+sin C=2sin Bcos A,(1分).'sin A =2sin Bcos A-sin C=2sin Bcos A-sin(A +B)=2sin Bcos A-(sin Acos B+cos Asin B)sin(B-A),(4分).A=B-A或A+(B-A)=T(舍去),(5分)B TA=2=12(6分)(2)由(1)知B=2A,且A是锐角,∴.c0sB=c0s2A=1-2sin2A=2c0s2A-1,(倍角公式的应用)2=963(7分)又abbsin A sin B1-cos'B(9分)a+c=2bcos A,..e=2bcos A-a=103(11分)(12分)
![[淄博一模]山东省淄博市2022-2023学年高三模拟考试英语答案](http://www.jiushilianmeng.com/zb_users/upload/water/2023-02-27/63fc901c46fcf.jpeg)
![[淄博一模]山东省淄博市2022-2023学年高三模拟考试语文试题答案](http://www.jiushilianmeng.com/zb_users/theme/zblogcms/style/images/no-image.jpg)
